USFS to Fowl up Spirits Creek!!!!
USFS to Fowl up Spirits Creek!!!!
Don't miss the limited window to tell the silly folk at the USFS that spirits creek does NOT need any more large woody debris, does not need any rip-rap, and does not need any vegetation removed from its stream banks. Looks like USFS is going to do all of these things and more unless the paddlers set them straight.
Read here:
The Final Environmental Assessment and Draft Decision Notice for the Spirits Project is now available at
http://www.fs.usda.gov/Internet/FSE_DOC ... 820563.pdf" onclick="window.open(this.href);return false;
http://www.fs.usda.gov/Internet/FSE_DOC ... 820564.pdf" onclick="window.open(this.href);return false;
If you would like a hard copy of these documents give me a call (479-667-2191 ext. 2175), send me an email jobibrown@fs.fed.us ,
or write to Ozark-St. Francis National Forests Boston Mountain Ranger District 1803 North 18th St. Ozark, AR 72949. Please include your name and mailing address.
If you wish to receive an electronic copy of the documents and cannot download them from the web you may request an electronic copy as well.
I appreciate your interest in this project. If you have questions on this proposal, please call Mike Hennigan or me at 479-667-2191.
Sincerely,
Read here:
The Final Environmental Assessment and Draft Decision Notice for the Spirits Project is now available at
http://www.fs.usda.gov/Internet/FSE_DOC ... 820563.pdf" onclick="window.open(this.href);return false;
http://www.fs.usda.gov/Internet/FSE_DOC ... 820564.pdf" onclick="window.open(this.href);return false;
If you would like a hard copy of these documents give me a call (479-667-2191 ext. 2175), send me an email jobibrown@fs.fed.us ,
or write to Ozark-St. Francis National Forests Boston Mountain Ranger District 1803 North 18th St. Ozark, AR 72949. Please include your name and mailing address.
If you wish to receive an electronic copy of the documents and cannot download them from the web you may request an electronic copy as well.
I appreciate your interest in this project. If you have questions on this proposal, please call Mike Hennigan or me at 479-667-2191.
Sincerely,
"The challenge goes on. There are other lands and rivers, other wilderness areas, to save and to share with all. I challenge you to step forward to protect and care for the wild places you love best"
- Neil Compton
- Neil Compton
Re: USFS to Fowl up Spirits Creek!!!!
good luck but the comment period is over. not that they matter anyway
Re: USFS to Fowl up Spirits Creek!!!!
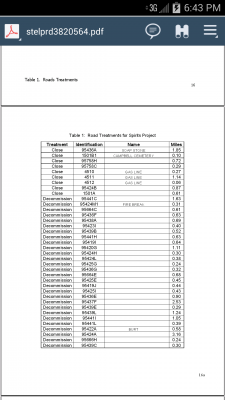
On pages 16a and 16b , they want to "decommission" Campbells Cemetery canoe access, and "close" Campbells Cemetery road.-M-



"Whenever you find yourself on the side of the majority,it's time to pause and reflect".
- okieboater
- .....
- Posts: 1944
- Joined: Mon Jul 04, 2005 9:21 pm
- Name: David L. Reid
- Location: Jenks, Oklahoma
Re: USFS to Fowl up Spirits Creek!!!!
That section ending at Campbell's is one if not the best day runs on the river.
Taking out that access is a terrible idea.
How did this thing get this far without the general boating community not getting involved.
Is it too late to do anything to block this idea?
Taking out that access is a terrible idea.
How did this thing get this far without the general boating community not getting involved.
Is it too late to do anything to block this idea?
Okieboater AKA Dave Reid
We are not sure when childhood ends and adulthood begins.
We are sure that when retirement begins, childhood restarts
We are not sure when childhood ends and adulthood begins.
We are sure that when retirement begins, childhood restarts
Re: USFS to Fowl up Spirits Creek!!!!
The pages. I can't find any other mention of it.-M- 

"Whenever you find yourself on the side of the majority,it's time to pause and reflect".
Re: USFS to Fowl up Spirits Creek!!!!
On the other hand, buried on another page, they're wanting to improve access at Big Eddy. -M- 

"Whenever you find yourself on the side of the majority,it's time to pause and reflect".
- cpresoz
- .....
- Posts: 605
- Joined: Mon Feb 07, 2011 10:13 am
- Name: Curtis Presley
- Location: Fayetteville, Arkansas
Re: USFS to Fowl up Spirits Creek!!!!
The main, current road into Campbell Cemetery appears will be maintained. They are closing many of the volunteer roads.
Re: USFS to Fowl up Spirits Creek!!!!
The entire plan is not bad,just parts of it. Like everything else in this world, it's a mix of good and bad. The assessment is is in the final phases but there is still time to make comments on how it is executed. Money is a question mark for at least a few of the activities they would like to carry out my guess is that the more certain items are locally supported or not will also be a factor in execution of the project.
Here are the folks to contact:
Write to Ozark-St. Francis National Forests Boston Mountain Ranger District 1803 North 18th St. Ozark, AR 72949 adress to Jobi Brown or Mike Hennigan . Call jobi at 479-667-2191 ext. 2175), or send an email jobibrown@fs.fed.us , Please include your name and mailing address.
Here are the folks to contact:
Write to Ozark-St. Francis National Forests Boston Mountain Ranger District 1803 North 18th St. Ozark, AR 72949 adress to Jobi Brown or Mike Hennigan . Call jobi at 479-667-2191 ext. 2175), or send an email jobibrown@fs.fed.us , Please include your name and mailing address.
"The challenge goes on. There are other lands and rivers, other wilderness areas, to save and to share with all. I challenge you to step forward to protect and care for the wild places you love best"
- Neil Compton
- Neil Compton
- okieboater
- .....
- Posts: 1944
- Joined: Mon Jul 04, 2005 9:21 pm
- Name: David L. Reid
- Location: Jenks, Oklahoma
Re: USFS to Fowl up Spirits Creek!!!!
Thanks Half Ton,
Email sent
Email sent
Okieboater AKA Dave Reid
We are not sure when childhood ends and adulthood begins.
We are sure that when retirement begins, childhood restarts
We are not sure when childhood ends and adulthood begins.
We are sure that when retirement begins, childhood restarts
- okieboater
- .....
- Posts: 1944
- Joined: Mon Jul 04, 2005 9:21 pm
- Name: David L. Reid
- Location: Jenks, Oklahoma
Re: USFS to Fowl up Spirits Creek!!!!
For what it is worth, I asked the forest service for clarification on possibly closing Campbell Cemetary access.
Got a call just now from them.
This gentleman said no plans to close Campbell's river access.
I told him we missed having the latrine there as well. He said the maintenance budget was just not there and there had been damage. Maybe there is an opportunity to the ACC to earmark some money for maintenance budget.
He said there were plans to improve the Big Eddy launch and access but having problems getting the budget. He specifically mentioned the erosion issue and I can vouch that is a problem. This float from Big Eddy to Campbell's has been one of my favorite teaching runs for Canoe School Saturday runs. This run has great teaching spots including a really nice lunch spot for rope throw practice and how to scout a nice little rapid. The run ends with a great surf spot as well.
He talked about the help ACC gave them on building the steps at Campbell's and how much it is appreciated.
I don't know the entire volunteer help process details but if there is a way the ACC can help the rangers out the Big Eddy access project, many of our members would be glad to help out. Lot of Tulsa Dust Bowl paddlers enjoy the Campbell's Access and it's floats.
I also discussed the run from Campbell's on down to the I-40 bridge. This is another very scenic float but hard to do as there are no good access points that I know of. I told him us boaters appreciated all the improvements done on the upper runs and hoped for more improvements to the lower river runs. He advised me his office would like to do more for the lower part but budget was the big problem they were having at this point in time.
All in all, a good conversation and as I mentioned above good opportunities for the Club and individuals to volunteer what ever they can to get and maintain access to the lower runs.
Bottom line, looks like the Campbell's river access is safe for now, just needs outside help to maintain it.
Got a call just now from them.
This gentleman said no plans to close Campbell's river access.
I told him we missed having the latrine there as well. He said the maintenance budget was just not there and there had been damage. Maybe there is an opportunity to the ACC to earmark some money for maintenance budget.
He said there were plans to improve the Big Eddy launch and access but having problems getting the budget. He specifically mentioned the erosion issue and I can vouch that is a problem. This float from Big Eddy to Campbell's has been one of my favorite teaching runs for Canoe School Saturday runs. This run has great teaching spots including a really nice lunch spot for rope throw practice and how to scout a nice little rapid. The run ends with a great surf spot as well.
He talked about the help ACC gave them on building the steps at Campbell's and how much it is appreciated.
I don't know the entire volunteer help process details but if there is a way the ACC can help the rangers out the Big Eddy access project, many of our members would be glad to help out. Lot of Tulsa Dust Bowl paddlers enjoy the Campbell's Access and it's floats.
I also discussed the run from Campbell's on down to the I-40 bridge. This is another very scenic float but hard to do as there are no good access points that I know of. I told him us boaters appreciated all the improvements done on the upper runs and hoped for more improvements to the lower river runs. He advised me his office would like to do more for the lower part but budget was the big problem they were having at this point in time.
All in all, a good conversation and as I mentioned above good opportunities for the Club and individuals to volunteer what ever they can to get and maintain access to the lower runs.
Bottom line, looks like the Campbell's river access is safe for now, just needs outside help to maintain it.
Okieboater AKA Dave Reid
We are not sure when childhood ends and adulthood begins.
We are sure that when retirement begins, childhood restarts
We are not sure when childhood ends and adulthood begins.
We are sure that when retirement begins, childhood restarts
Re: USFS to Fowl up Spirits Creek!!!!
THANKS DAVE!!!!!. You saved me a call. I just got done working and was about to try to verify the Campbells situation. Good to know that they know how much that stretch of river means to us. Thanks again. -M- 

"Whenever you find yourself on the side of the majority,it's time to pause and reflect".
Re: USFS to Fowl up Spirits Creek!!!!
fyi- the toilet at Campbells is gone.
i guess they found the budget $$ to tear down a building but not to stock it with TP
i guess they found the budget $$ to tear down a building but not to stock it with TP
Re: USFS to Fowl up Spirits Creek!!!!
They only tore down what was left after someone burned it. At least that's the story I was told. -M-
"Whenever you find yourself on the side of the majority,it's time to pause and reflect".
- okieboater
- .....
- Posts: 1944
- Joined: Mon Jul 04, 2005 9:21 pm
- Name: David L. Reid
- Location: Jenks, Oklahoma
Re: USFS to Fowl up Spirits Creek!!!!
I asked the ranger I talked to on the phone about the toilet.
He told me there was continual damage being done to that toilet. I have seen examples of that damage with my own eyes.
So much damage that they did not have the maintenance budget to keep repairing it and keep it functioning properly.
I do not think the Rangers are to blame for removal of the toilet, I know if I was in charge of it and some one kept tearing it up and tossing stuff like beer cans down the hole, it would not take long for my patience to run out.
He told me there was continual damage being done to that toilet. I have seen examples of that damage with my own eyes.
So much damage that they did not have the maintenance budget to keep repairing it and keep it functioning properly.
I do not think the Rangers are to blame for removal of the toilet, I know if I was in charge of it and some one kept tearing it up and tossing stuff like beer cans down the hole, it would not take long for my patience to run out.
Okieboater AKA Dave Reid
We are not sure when childhood ends and adulthood begins.
We are sure that when retirement begins, childhood restarts
We are not sure when childhood ends and adulthood begins.
We are sure that when retirement begins, childhood restarts
Re: USFS to Fowl up Spirits Creek!!!!
As long as we can access the river at Cambells, I'm a happy man. I will definitely not miss the nasty stink hole that masqueraded as a bathroom. - M- 

"Whenever you find yourself on the side of the majority,it's time to pause and reflect".
Social Media
Who is online
Users browsing this forum: No registered users and 0 guests